Home
Download PDF
Order CD-ROM
Order in Print
Home
>
Medical Reference and Training Manuals
>
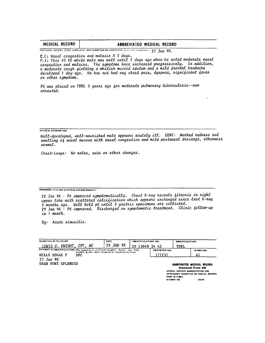
> Figure 1-4. SF 539 (Abbreviated Medical Record) (continued). - Medical Records Admin I Book 1 of 2
Figure 1-3. OF 275 (Medical Record Report). - Medical Records Admin I Book 1 of 2
Figure 1-4. SF 539 (Abbreviated Medical Record) (concluded). - Medical Records Admin I Book 1 of 2
Medical Records Administration Branch I (Book 1 of 2)
Page Navigation
5
6
7
8
9
10
11
12
13
14
15
Figure
1-4.
SF
539
(Abbreviated
Medical
Record)
(continued).
MD0753
1-10